【石墨电极】Nature重磅发布:锂电循环滞后与过压正相关,石墨电极成关键因素!
【石墨电极】Nature重磅发布:锂电循环滞后与过压正相关,石墨电极成关键因素!

目前,锂离子电池被广泛用作移动应用的储能系统。然而,为了改进电池管理系统(BMS),仍然需要更好地了解它们的性质。过电压和开路电压(OCV)滞后提供了有关电池性能的宝贵信息,但这些参数的估计通常不准确,导致BMS中的错误。通常避免对滞后进行研究,因为滞后取决于充电状态和退化水平,需要耗时的测量。我们研究了Li(NiMnCo)O2/石墨和LiFePO4/石墨商用电池的磁滞和过电压。在这里,我们报告了当电池因循环而退化时,OCV滞后的增加与充电过电压的增加之间的直接关系。我们发现滞后现象与扩散有关,并随着纯相的形成而增加,主要与石墨电极有关。这些发现表明,石墨电极是电池效率的决定因素。
图1

以C/25的速率对NMC电池的电池电压进行充电和放电,OCV对应于新的NMC电池。插图显示了如何获得过电压和电压滞后。
图2

NMC电池在(a)充电和(b)放电期间以C/50产生过电压,在(C)充电和放电期间以C/C5产生过电压。循环老化试验后的过电压增加如下图所示。
图3

在新鲜和老化的NMC细胞中观察到滞后现象,并在老化试验后相应增加。
图4

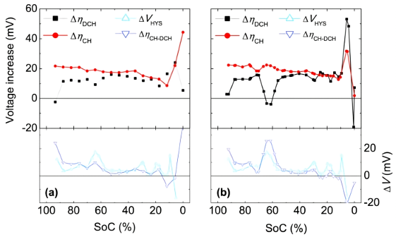
在(a)C/50和(b)C/25下评估的NMC电池循环退化后的过电压和滞后增加。
图5
在C/25下评估的循环导致LFP电池退化后的过电压和滞后增加。
图6
在c/25充电和室温下OCV滞后期间,配置为半电池的(a,b)石墨和(c,d)NMC电极的增量容量。(a,c)表示新鲜电极,(b,d)表示老化电极。黄色区域表示单相区域,灰色区域表示整个电池的工作SoC。
综上所述,本文研究发现锂离子电池的滞后(hysteresis)和过压(overvoltage)在相变末期(即纯相形成时)均会增加,其中过压此前已被关联于扩散(传输特性);循环老化后,滞后增加且充电过压的增幅大于放电过压;极重要的发现是充电过压的额外增幅与循环老化后的滞后增加存在直接对应关系,且该趋势在NMC和LFP两种电池中均被检验到;进一步表明循环老化导致的滞后增加主要与石墨电极相关,可能的成因是机械降解(即电池结构改变),因其会改变传输特性(扩散过压)并反映在OCV滞后中。
欢迎随时联系我们,获取有关石墨电极市场的进一步信息。我们的团队致力于为您提供深度见解和根据您的需求量身定制的帮助。无论您对产品规格、市场趋势还是定价有何疑问,我们都会竭诚为您解答。
没有找到相关结果



0 个回复